Texas Go Math Grade 7 Lesson 8.4 Answer Key Solving Two-Step Inequalities

Refer to our Texas Go Math Grade 7 Answer Key Pdf to score good marks in the exams. Test yourself by practicing the problems from Texas Go Math Grade 7 Lesson 8.4 Answer Key Solving Two-Step Inequalities.

Texas Go Math Grade 7 Lesson 8.4 Answer Key Solving Two-Step Inequalities

Your Turn

Use algebra tiles to model and solve each inequality.

Question 1.
2x + 7 > 11 ____
Answer:
Texas Go Math Grade 7 Lesson 8.4 Answer Key 19
Subtract 7 from both sides.
2x + 7 – 7 > 11 – 7
2x > 4 Divide both sides by 2.
Texas Go Math Grade 7 Lesson 8.4 Answer Key 20

Texas Go Math Grade 7 Solutions Lesson 8.4 Answer Key Question 2.
5h – 4 ≥ 11
Answer:
Texas Go Math Grade 7 Lesson 8.4 Answer Key 21
Add 4 to both sides.
5h – 4 + 4 ≥ 11 + 4
5h ≥ 15 Divide both sides by 5.
Texas Go Math Grade 7 Lesson 8.4 Answer Key 22

Your Turn

Solving Two-Step Inequalities 1

Question 3.
Joshua wants to complete the first mile of a 5-mile run in 10 minutes or less running at a steady pace. The inequality 5 – \(\frac{p}{6}\) ≤ 4 can be used to find p, the pace, in miles per hour, he can run to reach his goal. Solve the inequality. Then graph and interpret the solution.
Texas Go Math Grade 7 Lesson 8.4 Answer Key 2
Answer:
Multiply both sides by 6. Because we are multiplying by a negative number, we have to reverse the direction of the
inequality.
Texas Go Math Grade 7 Lesson 8.4 Answer Key 23
-30 + 9 ≥ -24 Add 30 to both sides
30 – 30 + p ≥ 30 – 24
p ≥ 6
Texas Go Math Grade 7 Lesson 8.4 Answer Key 24
p ≥ 6

Your Turn

Circle any given values that make the inequality true.

Question 4.
3v – 8 > 22
v = 9; v = 10; v = 11
Answer:
Substitute 9 for v in the given equation.
v = 9
Texas Go Math Grade 7 Lesson 8.4 Answer Key 25
Substitute 10 for v in the given equation.
Texas Go Math Grade 7 Lesson 8.4 Answer Key 26
Substitute 11 for v in the given equation.
Texas Go Math Grade 7 Lesson 8.4 Answer Key 27
v = 11

Practice and Homework Lesson 8.4 Texas Go Math Grade 7 Question 5.
5h + 12 ≤ -3
h = -3; h = -4; h = -5
Answer:
Substitute -3 for h in the given equation.
Texas Go Math Grade 7 Lesson 8.4 Answer Key 28
Substitute -4 for h in the given equation.
Texas Go Math Grade 7 Lesson 8.4 Answer Key 29
Substitute -5 for h in the given equation.
Texas Go Math Grade 7 Lesson 8.4 Answer Key 30
h = -3,
h = -4,
h = -5

Texas Go Math Grade 7 Lesson 8.4 Guided Practice Answer Key

Question 1.
Describe how to solve the inequality 3x + 4 < 13 using algebra tiles. (Example 1)
Texas Go Math Grade 7 Lesson 8.4 Answer Key 3
Answer:
Remove 4 + 1 tiles from each side on the mat.
Then, divide each side into 3 equal groups.
3x < 13 – 4
3x < 9 Divide both sides by 3.
\(\frac{3 x}{3}\) < \(\frac{9}{3}\)
x < 3
The solution is x < 3.

Solve each inequality. Graph and check the solution. (Example 2)

Question 2.
5d – 13 < 32 ____
Texas Go Math Grade 7 Lesson 8.4 Answer Key 4
Answer:
Add 13 to the both sides.
Texas Go Math Grade 7 Lesson 8.4 Answer Key 31
Check the solution for d < 9. For example, d = 5.
Texas Go Math Grade 7 Lesson 8.4 Answer Key 32
Texas Go Math Grade 7 Lesson 8.4 Answer Key 33
d < 9

Lesson 8.4 Answer Key 7th Grade Two-Step Inequalities Question 3.
-4b + 9 < -7 _____
Texas Go Math Grade 7 Lesson 8.4 Answer Key 5
Answer:
Subtract 9 to the both sides.
Texas Go Math Grade 7 Lesson 8.4 Answer Key 34
Check the solution for b ≥ 4. For example, b = 5.
Texas Go Math Grade 7 Lesson 8.4 Answer Key 35
Texas Go Math Grade 7 Lesson 8.4 Answer Key 36
b ≥ 4

Circle any given values that make the inequality true. (Example 3)

Solving Two-Step Inequalities 2

Question 4.
2m + 18 > -4
m = -12;m = -11; m = -10
Answer:
Substitute -12 for m in the given equation.
Texas Go Math Grade 7 Lesson 8.4 Answer Key 37
Substitute -11 for m in the given equation.
Texas Go Math Grade 7 Lesson 8.4 Answer Key 38
Substitute -10 for m in the qiven equation.
Texas Go Math Grade 7 Lesson 8.4 Answer Key 39
m = -10

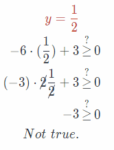
Question 5.
-6y + 3 ≥ 0
y = 1; y = \(\frac{1}{2}\); y = 0
Answer:
Substitute 1 for y in the given equation.
Texas Go Math Grade 7 Lesson 8.4 Answer Key 40
Substitute 1/2 for y in the given equation.
Texas Go Math Grade 7 Lesson 8.4 Answer Key 41
Substitute 0 for y in the given equation.
Texas Go Math Grade 7 Lesson 8.4 Answer Key 42
y = 0

Texas Go Math Grade 7 Lesson 8.4 Answer Key 6

Go Math Lesson 8.4 7th Grade Two Step Inequalities Answer Key Question 6.
Lizzy has 6.5 hours to tutor 4 students and spend 1.5 hours in a lab. She plans to tutor each student the same amount of time. The inequality 6.5 – 4t ≥ 1.5 can be used to find t, the amount of time in hours Lizzy could
spend with each student. Solve the inequality. Graph and interpret the solution. Can Lizzy tutor each student for
1.5 hours? Explain. (Example 2 and 3)
Answer:
Subtract 6.5 from the both sides.
-6.5 + 6.5 – 4t ≤ -6.5 + 1.5
-4f ≤ 4 Divide both sides by -4.
Texas Go Math Grade 7 Lesson 8.4 Answer Key 43
Substitute 1.5 for t in the given equation.
t = 1.5
Texas Go Math Grade 7 Lesson 8.4 Answer Key 44
t ≥ 1

Essential Question Check-In

Question 7.
How do you solve a two-step inequality?
Answer:
First, isolate the variable. On one side of the inequality we put the variable, and on other side we put what’s left.
If the variable is multiplied by some number, we have to divide inequality by that number.
If we divide or multiply by a negative number, we have to reverse the direction of inequality.

Texas Go Math Grade 7 Lesson 8.4 Independent Practice Answer Key

Solve each inequality. Graph and check the solution.

Question 8.
2s + 5 ≥ 49
Texas Go Math Grade 7 Lesson 8.4 Answer Key 7
Answer:
Divide both side by 2.
Texas Go Math Grade 7 Lesson 8.4 Answer Key 45
Check the solution for s ≥ 22. For example, s = 23.
Texas Go Math Grade 7 Lesson 8.4 Answer Key 46
The solution is shown in graph
Texas Go Math Grade 7 Lesson 8.4 Answer Key 47
s ≥ 22

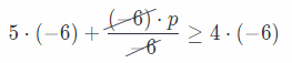
Question 9.
-3f + 9 ≥ -21
Texas Go Math Grade 7 Lesson 8.4 Answer Key 8
Answer:
Subtract 9 from the both sides.
-3t + 9 – 9 ≥ -21 – 9
– 3t > -30 Divide both sides by (-3).
Texas Go Math Grade 7 Lesson 8.4 Answer Key 48
Check the solution for t ≤ 10. For example, t = 9.
Texas Go Math Grade 7 Lesson 8.4 Answer Key 49
This inequality is shown in the picture.
Texas Go Math Grade 7 Lesson 8.4 Answer Key 50
t ≤ 10

Solving Two-Step Inequalities Answer Key Grade 7 Question 10.
55 > -7v + 6 ____
Texas Go Math Grade 7 Lesson 8.4 Answer Key 9
Answer:
Subtract 6 from the both sides.
55 – 6 > -7v + 6 – 6
49 > -7v Divide both sides by (- 7).
Texas Go Math Grade 7 Lesson 8.4 Answer Key 51 Reverse the direction of inequality, due to the division with a negative number
-7 < v Check the solution for v > – 7. For example, v = 6.
55 ⩼ -7 ∙ (-6) + 6
55 ⩼ 42 + 6
55 ⩼ 48
True
This inequality is shown in the picture.
Texas Go Math Grade 7 Lesson 8.4 Answer Key 52
v > -7

Question 11.
41 > 6m – 7 ____
Texas Go Math Grade 7 Lesson 8.4 Answer Key 10
Answer:
Add 7 from the both sides.
41 + 7 > 6m – 7 + 7
48 > 6m Divide both sides by 6.
Texas Go Math Grade 7 Lesson 8.4 Answer Key 53
8 > m
Check the solution for in < 8. For example, m = 7.
41 ⩼ 6 . (7) – 7
41 ⩼ 42 – 7
41 ⩼ 35
True
This inequality is shown in the picture.
Texas Go Math Grade 7 Lesson 8.4 Answer Key 54
m < 8 Question 12. \(\frac{a}{-8}\) + 15 > 23
Texas Go Math Grade 7 Lesson 8.4 Answer Key 11
Answer:
Subtract 15 from the both sides.
\(\frac{a}{-8}\) + 15 – 15 > 23 – 15
\(\frac{a}{-8}\) > 8 Multiply both sides by (-8).
Texas Go Math Grade 7 Lesson 8.4 Answer Key 55 Reverse the direction of inequality, due to the division with a negative number
a < -61
Check the solution for a < -64. For example, a = -72.
– \(\frac{-72}{-8}\) + 15 ⩼ 23
9 + 15 ⩼ 23
24 ⩼ 23
True
This inequality is shown in the picture.
Texas Go Math Grade 7 Lesson 8.4 Answer Key 56
a < -64

Texas Go Math Grade 7 Answer Key Lesson 8.4 Question 13.
\(\frac{f}{2}\) – 22 < 48
Texas Go Math Grade 7 Lesson 8.4 Answer Key 12
Answer:
Add 22 from both sides.
\(\frac{f}{2}\) – 22 + 22 < 48 + 22
\(\frac{f}{2}\) < 70 Multiply both sides by 2.
Texas Go Math Grade 7 Lesson 8.4 Answer Key 57
Check the solution for f < 140. For example, f = 130
\(\frac{130}{2}\) – 22 â©» 48
65 – 22 â©» 48
43 â©» 48
True
This inequality is shown in the picture.
Texas Go Math Grade 7 Lesson 8.4 Answer Key 58
f < 140

Question 14.
-25 + \(\frac{t}{2}\) ≥ 50
Texas Go Math Grade 7 Lesson 8.4 Answer Key 13
Answer:
Add 25 from both sides.
-25 + 25 + \(\frac{t}{2}\) ≥ 50 + 25
\(\frac{t}{2}\) ≥ 75 Multiply both sides by 2.
Texas Go Math Grade 7 Lesson 8.4 Answer Key 59
Check the solution for t ≥ 150. For example, t = 160.
-25 + \(\frac{160}{2}\) ⩼ 50
-25 + 80 ⩼ 50
55 ⩼ 50
True
This inequality is shown in the picture.
Texas Go Math Grade 7 Lesson 8.4 Answer Key 71
t ≥ 150

Question 15.
10 + \(\frac{g}{-9}\) > 12
Texas Go Math Grade 7 Lesson 8.4 Answer Key 14
Answer:
Subtract -10 from
10 – 10 + \(\frac{g}{-9}\) > 12 – 10
\(\frac{g}{-9}\) > 2 Multiply both sides by (-9).
Texas Go Math Grade 7 Lesson 8.4 Answer Key 61 Reverse the direction of inequality, due to the multiplication with a negative number
g < -18
Check the solution for g < -18. For example, g = -27
10 + \(\frac{-27}{-9}\) ⩼ 12
10 + 3 ⩼ 12
13 ⩼ 12
True
This inequality is shown in the picture.
Texas Go Math Grade 7 Lesson 8.4 Answer Key 62
g < -18

7th Grade Go Math Answer Key Lesson 8.4 Question 16.
25.2 ≤ -1.5y + 1.2.
Texas Go Math Grade 7 Lesson 8.4 Answer Key 15
Answer:
Subtract 1.2 from the both sides.
25.2 – 1.2 ≤ -1.5y + 1.2 – 1.2
24 ≤ —1.5y Divide both sides by (-1.5).
Texas Go Math Grade 7 Lesson 8.4 Answer Key 63 Reverse the direction of inequality, due to the division with a negative number
-16 ≥ y
y ≤ -16
Check the solution for y ≤ -16. For example, y = -18.
25.2 â©» (-1.5) . (-18) + 1.2
25.2 â©» 27 + 1.2
25.2 â©» 28.2
True
This inequality is shown in the picture.
Texas Go Math Grade 7 Lesson 8.4 Answer Key 64
y ≤ -16

Question 17.
-3.6 ≥ -0.3a + 1.2
Texas Go Math Grade 7 Lesson 8.4 Answer Key 16
Answer:
Subtract 1.2 from boths sides.
-3.6 – 1.2 ≥ -0.3a + 1.2 – 1.2
-4.8 ≥ -0.3a Divide both sides by (-0.3).
Texas Go Math Grade 7 Lesson 8.4 Answer Key 65 Reverse the direction of inequality, due to the division by a negative number.
16 ≤ a
a ≥ 16
Check the solution for a ≥ 16. For example, a = 18.
-3.6 ⩼ (-0.3) . (18) + 1.2
-3.6 ⩼ -5.4 + 1.2
-3.6 ⩼ -4.2
True
This inequality is shown in the picture.
Texas Go Math Grade 7 Lesson 8.4 Answer Key 66
a ≥ 16

Question 18.
What If? The perimeter of a rectangle is at most 80 inches. The length of the rectangle is 25 inches. The inequality 80 – 2w ≥ 50 can be used to find w, the width of the rectangle in inches. Solve the inequality and interpret the solution. How will the solution change if the width must be at least 10 inches and a whole number?
Answer:
Subtract 80 from both sides.
-80 + 80 – 2 . w ≥ -80 + 50 Multiply both sides by (-2).
Texas Go Math Grade 7 Lesson 8.4 Answer Key 67 Reverse the direction of inequality, due to the multiplication by a negative number.
The width is not greater than 15 inches.
If the width must be at least 10 inches and the whole number, the solution set is {10, 11, 12, 13, 14, 15}.
w ≤ 15 inches

Question 19.
Interpret the Answer Grace earns $7 for each car she washes. She always saves $25 of her weekly earnings. This week, she wants to have at least $65 in spending money. How many cars must she wash? Write and solve an inequality to represent this situation. Interpret the solution in context.
Answer:
Sum $25 Grace saves every week, and $7 . x. where x represents the number of cars she must wash, and that sum should be at least $65.
$25 + $7 . x ≥ $65 Subtract $25 from both sides.
-$25 + $25 + $7 . x ≥ -$25 + $65
$7 . x ≥ $40 Divide b0th sides by $7.
Texas Go Math Grade 7 Lesson 8.4 Answer Key 68
She can not wash 5.71 cars. so we have to take the next whole number.
Because of that, she must wash at least 6 cars to meet her goal. Proof:
$25 + $7 . 6 ⩼ $65
$25 + $42 ⩼ $65
$66 ⩼ $65
True
x ≥ 6

Texas Go Math Grade 7 Lesson 8.4 H.O.T. Focus On Higher Order Thinking Answer Key

Question 20.
Critical Thinking Is there any value of x with the property that x < x – 1? Explain your reasoning. Answer: No, there is not. If we decrease any number by 1, the obtained number can not be greater than himself. For example, let x be 5. 5 â©» 5 – 1 5 â©» 4 Not true. Not, there is not. Question 21. Analyze Relationships A compound inequality consists of two simple inequalities joined by the word “and” or “or.” Graph the solution sets of each of these compound inequalities. a. x > 2 and x < 7
Texas Go Math Grade 7 Lesson 8.4 Answer Key 17
Answer:
x > 2 and x < 7
Texas Go Math Grade 7 Lesson 8.4 Answer Key 69

b. x < 2 or x > 7
Texas Go Math Grade 7 Lesson 8.4 Answer Key 18
Answer:
x < 2 or x > 7
Texas Go Math Grade 7 Lesson 8.4 Answer Key 70

c. Describe the solution set of the compound inequality x < 2 and x > 7.
Answer:
The solution set is the intersection of sets where x is greater than 2 and less than 7, x ε (2, 7).

d. Describe the solution set of the compound inequality x > 2 or x < 7.
Answer:
The solution set is the union of sets where x is less than 2 and greater than 7, x ε (-∞, 2) ∪ (7, ∞).

Go Math Lesson 8.4 7th Grade Solving Two-Step Inequalities Question 22.
Communicate Mathematical Ideas Joseph used the problem-solving strategy Work Backward to solve the inequality 2n+ 5 < 13. Shawnee solved the inequality using the algebraic method you used in this lesson. Compare the two methods.
Answer:
Working backward consists of mentally performing the following operations: Subtract 5 from 13 to obtain 8 and
dividing by 2 gives us that n must be less than 4.
Let’s perform the algebraic operations:
2n + 5 < 13 Write the inequality
2n + 5 – 5 < 13 – 5 Subtract 5 from both sides
2n < 8 Simplify
\(\frac{2 n}{2}\) < \(\frac{8}{2}\) Divide both sides by 2
n < 4 Simplify
The two methods are basically the same. Working backward consists of mostly working mentally, while the algebraic method is mostly written, but the operations performed are the same.
The two methods are basically the same. The backward method works mentally while the algebraic method is a written solution.

Leave a Comment

Scroll to Top